Composé hydroxy de rabéprazole CAS 675198 - 19 - 3 Pureté > 99,0 % (HPLC) Usine
Shanghai Ruifu Chemical est le principal fabricant de chlorhydrate de [4 - Ruifu Chemical propose des intermédiaires pharmaceutiques avancés et de haute qualité et des ingrédients pharmaceutiques actifs (API).
Ruifu Chemical peut fournir une livraison dans le monde entier, des prix compétitifs, un excellent service, des quantités petites et en vrac disponibles. Achetez des intermédiaires de rabéprazole sodique, Veuillez contacter : alvin@ruifuchem.com
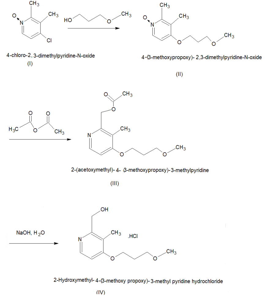
| Nom chimique | Chlorhydrate de [4-(3-Méthyoxypropoxy)-3-Méthyl-2-Pyridinyl]méthanol |
| Synonymes | Composé hydroxy du rabéprazole ; Chlorhydrate de (4-(3-Méthoxypropoxy)-3-Méthylpyridine-2-yl)méthanol ; 4-(3-Méthoxypropoxy)-3-Méthylpyridine-2-Chlorhydrate de méthanol |
| Numéro CAS | 675198-19-3 |
| État des stocks | En stock, production pouvant atteindre des tonnes |
| Formule moléculaire | C11H18ClNO3 |
| Poids moléculaire | 247,72 |
| Certificat d'authenticité et fiche signalétique | Disponible |
| Origine du produit | Shanghai, Chine |
| Durée de conservation | 24 mois lorsqu'il est correctement stocké |
| Catégories de produits | Intermédiaires pharmaceutiques |
| Marque | Produit chimique Ruifu |
| Article | Spécifications | Résultats |
| Apparence | Poudre cristalline jaune clair | Poudre cristalline jaune clair |
| Méthode d'essai/d'analyse | >99,0 % (HPLC) | 99,7% |
| Perte au séchage | <0,50% | 0,23% |
| Résidus à l'allumage | <0,20% | 0,06% |
| Toute impureté unique | <0,50% | <0,50% |
| Impuretés totales | <0,50% | 0,30% |
| Métaux lourds (en Pb) | <20 ppm | <20 ppm |
| Conclusion | Le produit a été testé et est conforme aux spécifications données | |
| Utilisation | Intermédiaire du rébéprazole sodique (CAS : 117976-90-6) | |
Forfait: Bouteille, sac en papier d'aluminium, tambour de 25 kg/carton ou selon l'exigence du client
Conditions de stockage :Conserver dans des récipients scellés dans un endroit frais et sec ; Protéger de la lumière et de l'humidité


Le chlorhydrate de [4-(3-Methyoxypropoxy)-3-Méthyl-2-Pyridinyl]méthanol, composé hydroxy de rabéprazole, (CAS : 675198-19-3) est un intermédiaire du rébéprazole sodique (CAS : 117976-90-6). Le chancre rabéprazole azole sodique est une classe d'inhibiteurs de la pompe à protons prenant les médicaments, pour la forme de sel de sodium ray Bella azole, d'abord développé avec succès par la société japonaise Eisai, nom de produit pour la force des vagues, le rôle des inhibiteurs de la pompe à protons est de réduire la sécrétion d'acide gastrique des zones pathologiques stables, de manière à guérir les ulcères gastriques et duodénaux et l'effet de la régurgitation de l'œsophage gastrique. Il est principalement utilisé dans le traitement clinique des maladies liées à l'acide, telles que la sélection d'ulcères gastriques et duodénaux, l'ulcère gastroduodénal, le reflux gastro-œsophagien, le syndrome de Zhuoye, etc. Le rébéprazole sodique a un délai d'action plus rapide que l'oméprazole, mais une durée d'action plus courte. Le rabéprazole est un substitut du benzimidazole qui inhibe la sécrétion d'acide gastrique en se liant à la pompe à protons des cellules pariétales gastriques. Ce produit inhibe l'action de l'adénosine triphosphate, une enzyme clé dans la production d'acide gastrique. Il peut inhiber la sécrétion d'acide gastrique basique et d'acide gastrique provoquée par la stimulation.





