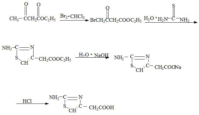
Acide (2-Amino-4-thiazolyl)acétique (ATAA) CAS 29676-71-9 Pureté >99,5 % (HPLC) Usine intermédiaire de céfotiam
Fourniture du fabricant avec une production commerciale de haute qualité
Nom chimique : Acide (2-Amino-4-thiazolyl)acétique CAS : 29676-71-9
| Nom chimique | Acide (2-Amino-4-thiazolyl)acétique |
| Synonymes | ATAA ; Acide (2-Aminothiazole-4-yl)acétique ; 2-Aminothiazole-4-Acide acétique ; 2-Amino-4-Acide acétique thiazole |
| Numéro CAS | 29676-71-9 |
| Numéro CAT | RF-PI1112 |
| État des stocks | En stock, production pouvant atteindre des tonnes |
| Formule moléculaire | C5H6N2O2S |
| Poids moléculaire | 158.18 |
| Marque | Produit chimique Ruifu |
Forfait: Bouteille, sac en papier d'aluminium, tambour de 25 kg/carton ou selon les exigences du client.
Conditions de stockage :Conserver dans des récipients scellés dans un endroit frais et sec ; Protéger de la lumière et de l'humidité.


L'acide (2-Amino-4-thiazolyl)acétique (CAS : 29676-71-9) peut être utilisé comme intermédiaire du Cefotiam. Le céfotiam est un céphalospo bêta-lactame de troisième génération dans un antibiotique, il est actif contre un large spectre de bactéries à Gram positif et à Gram négatif. Céphalosporine semi-synthétique formulée sous forme de dichlorhydrate pour injection et d'ester de promédicament, le céfotiam hexétil, pour administration orale. L'activité est similaire à celle de la céfuroxime, mais elle est un peu plus active contre une gamme d'entérobactéries.





