3-Thiophèneéthanol CAS 13781-67-4 Pureté >99,0 % (GC) Produit principal d'usine
Fourniture du fabricant, haute pureté, production commerciale
Nom chimique : 3-Thiophèneéthanol CAS : 13781-67-4
| Nom chimique | 3-Thiophèneéthanol |
| Synonymes | Thiophène-3-Éthanol ; 3-(2-Hydroxyéthyl)thiophène; 2-(3-Thienyl)éthanol; 2-(Thiophen-3-yl)éthanol |
| Numéro CAS | 13781-67-4 |
| Numéro CAT | RF-PI1001 |
| État des stocks | En stock, production pouvant atteindre des tonnes |
| Formule moléculaire | C6H8OS |
| Poids moléculaire | 128.19 |
| Point d'ébullition | 110,0 ~ 111,0 ℃/14 mm Hg (lit.) |
| Densité | 1,144 g/mL à 25℃ (lit.) |
| Indice de réfraction | n20/D 1.552 (lit.) |
| Marque | Produit chimique Ruifu |
| Article | Spécifications |
| Apparence | Liquide transparent incolore ou jaune clair |
| Pureté / Méthode d'analyse | >99,0 % (GC) |
| 2-Thiophène Éthanol | <1,0% |
| Le temps de rétention 8,335 min | |
| Teneur en eau (K.F) | ≤0,50% |
| Impuretés totales | <1,0% |
| Norme de test | Norme d'entreprise |
| Utilisation | Intermédiaires pharmaceutiques |
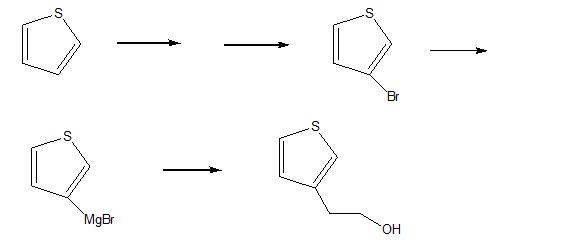
3-Thiophèneéthanol (CAS : 13781-67-4) Voie Synthétique
Forfait: Bouteille, 25 kg/baril, ou selon l'exigence du client.
Conditions de stockage :Conserver dans des récipients scellés dans un endroit frais et sec ; Protéger de la lumière et de l'humidité.


Le 3-thiophèneéthanol (CAS : 13781-67-4) est utilisé comme réactif dans la synthèse de nanoparticules polymères conjuguées sensibles au pH et émettant des IR proches pour l'imagerie cellulaire et l'administration contrôlée de médicaments. Le 3-Thiophèneéthanol est également utilisé comme réactif dans la préparation de puissants inhibiteurs de l'ARN polymérase du virus respiratoire syncytial.





