DMDO-Cl CAS 80841-78-7 Pureté >96,0 % (GC) Usine intermédiaire d'olmésartan médoxomil
Ruifu Chemical Supply Olmesartan Medoxomil intermédiaires de haute qualité :
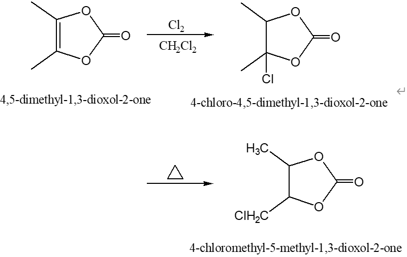
4,5-Diméthyl-1,3-Dioxol-2-One (DMDO) CAS 37830-90-3
4-Chlorométhyl-5-Méthyl-1,3-Dioxol-2-One (DMDO-Cl) CAS 80841-78-7
Éthyle 4-(1-Hydroxy-1-Méthyléthyl)-2-Propyl-Imidazole-5-Carboxylate CAS 144689-93-0
Diéthyle 2-Propyle-1H-Imidazole-4,5-Dicarboxylate CAS 144689-94-1
Ester éthylique de trityl olmésartan CAS 144690-33-5
Acide trityl olmésartan CAS 761404 - 85 - 7
N2-Acide trityle olmésartan CAS 752179-89-8
Trityl Olmésartan Médoxomil CAS 144690-92-6
Olmésartan Médoxomil CAS 144689-63-4
| Nom chimique | 4-Chlorométhyl-5-méthyl-1,3-dioxol-2-one |
| Synonymes | DMDO-Cl |
| Numéro CAS | 80841-78-7 |
| Numéro CAT | RF-PI1871 |
| État des stocks | En stock, capacité de production 300 tonnes/an |
| Formule moléculaire | C5H5ClO3 |
| Poids moléculaire | 148,54 |
| Point d'ébullition | 93 ℃/2 mmHg |
| Marque | Produit chimique Ruifu |
| Article | Spécifications |
| Apparence | Liquide incolore à jaune |
| Identification (GC) | Le temps de rétention du pic majeur dans le chromatogramme de l'échantillon correspond à celui de l'étalon tel qu'obtenu en pureté et substances apparentées. |
| Pureté / Méthode d'analyse | >96,0 % (GC) |
| Eau (par Karl Fischer) | <0,50% |
| Impureté A | <1,50% |
| Impureté B | <0,50% |
| Impureté C | <3,00% |
| Impureté D | <4,00% |
| Impureté E | <0,10% |
| Indice de réfraction N20/D | 1,476~1,482 |
| Gravité spécifique (20/20 ℃) | 1,357~1,363 |
| Spectre RMN du proton | Conforme à la structure |
| Norme de test | Norme d'entreprise |
| Utilisation | Intermédiaire d'Olmésartan Médoxomil (CAS : 144689-63-4) |
Voie de synthèse du 4-chlorométhyl-5-méthyl-1,3-dioxol-2-one
Forfait: Bouteille fluorée, 25 kg/fût ou selon les exigences du client
Conditions de stockage :Conserver dans des récipients scellés dans un endroit frais et sec ; Protéger de la lumière et de l'humidité


4-Chlorométhyl-5-méthyl-1,3-dioxol-2-one, (DMDO-Cl) (CAS : 80841-78-7) est un intermédiaire de l'olmésartan médoxomil (CAS : 144689-63-4. L'olmésartan médoxomil est un nouvel antagoniste non peptidique des récepteurs de l'angiotensine II, sélectif et compétitif, utilisé pour traiter l'hypertension artérielle. L'olmésartan agit en bloquant la liaison de l'angiotensine II aux récepteurs AT1 des muscles vasculaires. En bloquant la liaison plutôt que la synthèse de l'angiotensine II, l'olmésartan inhibe la rétroaction régulatrice négative sur la sécrétion de rénine. Olmesartan Medoxomil a été lancé aux États-Unis sous le nom de Benicar@, un traitement administré par voie orale contre l'hypertension.





